Sari la conținut
Sari la conținut (apasă Enter)
LICEUL SPECIAL “MOLDOVA”

LICEUL SPECIAL “MOLDOVA”

TÂRGU FRUMOS, JUDEŢUL IAŞI

  • Pagina Principală
    • Pagina Principala
    • First Page
  • Despre Noi
    • Despre Noi
    • Prezentare PowerPoint
    • Proiecte educationale
    • Proiecte naționale și internaționale
    • Regulament de Ordine Interioara
  • Mobilitate
  • Posturi Disponibile
  • Erasmus+
  • PNRR
  • Informaţii
    • Comunicate de presă
    • Declaratii de Interes
    • Declaratii de Avere
  • Orar
  • Contact
LICEUL SPECIAL “MOLDOVA”

LICEUL SPECIAL “MOLDOVA”

TÂRGU FRUMOS, JUDEŢUL IAŞI

  • Pagina Principală
    • Pagina Principala
    • First Page
  • Despre Noi
    • Despre Noi
    • Prezentare PowerPoint
    • Proiecte educationale
    • Proiecte naționale și internaționale
    • Regulament de Ordine Interioara
  • Mobilitate
  • Posturi Disponibile
  • Erasmus+
  • PNRR
  • Informaţii
    • Comunicate de presă
    • Declaratii de Interes
    • Declaratii de Avere
  • Orar
  • Contact

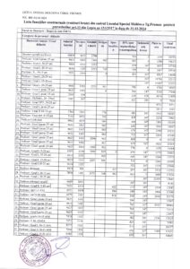
Venituri brute la data de 31.03.2024

  • Anunt modificat_25.08.2025_proba braille
  • Anunț proba braille _18.08.2025
  • LISTA CANDIDATILOR PENTRU PROBA BRAILLE
  • Anunt-proba-braille-ex.titularizare-2025
  • Anexa 6 rezultate probe eliminatorii
  • Informații suplimentare
  • Anunț selectie si recrutare experți educationali
  • Anexa 1 (cerere)
  • Anexa 2 (declaratie disponibilitate)
  • Anunț Proiect REDA
  • Anunt proiect „SmartLab Special Moldova (SLSM)”
  • Anunț desfășurare Proba Braille_ex.titularizare 2024
  • Anunt incepere proiect SmartLab Liceul Special ”Moldova”
  • Liceul Special „Moldova” din Târgu Frumos lansează Proiectul „Stimulare Senzorială Cu Plante Aromatice”

Like Us On Facebook

Loading...

MENIU NAVIGARE

  • DiscoverEU Inclusion
  • SPRIJIN EDUCATIONAL
  • PROTECTIA DATELOR CU CARACTER PERSONAL
  • RESURSE EDUCAŢIONALE DESCHISE
  • ACTIVITĂŢI EXTRACURRICULARE
  • PREZENTARE
    • Scurt Istoric
    • Misiunea şcolii
    • Viziunea şcolii
    • Cod de etică
    • Regulament de organizare şi funcţionare
    • Regulament de Ordine Interioara
  • CONDUCEREA ŞCOLII
    • Director
    • Consiliul de Administratie
      • Hotarari ale Consiliul de Administratie
      • PDI
      • Plan managerial
      • Plan operaţional
      • Componența Consiliului de Administratie
      • Legislatie
  • RESURSE UMANE
    • Personalul Didactic
    • Personalul Didactic Auxiliar
    • Personalul Nedidactic
    • Funcții și salarii
    • Conditii speciale
  • C.E.A.C
  • Comunicate de presa
  • Proiectul privind Învățământul Secundar ( ROSE) – Învață, testează și aplică
    • Invitatii de participare materiale consumabile si dotari
    • Invitatii de participare pentru licitatia de materiale consumabile pentru pers. cu dizabilitati.
    • Invitatii achizitii servicii pensiune completa si transport
    • Invitație de participare pentru achiziții
  • OFERTA EDUCAŢIONALĂ
  • PROIECTE INTERNAŢIONALE
    • Acreditare Erasmus+ 2024–2027
    • Action 4 Future
  • PROIECTE EDUCAŢIONALE
    • Proiecte Naţionale şi Internaţionale
    • Proiecte educative
  • CONCURSURI ȘCOLARE ȘI PREMII OBȚINUTE
    • 2013-2014
    • 2014-2015
    • 2017-2018
    • 2019-2020
  • REVISTE ȘCOLARE
  • ÎNSCRIEREA ÎN ÎNVĂȚĂMÂNTUL PRIMAR
    • 2024-2025
  • ÎNSCRIEREA ÎN ÎNVĂŢĂMÂNTUL SPECIAL
  • EXAMENE NAȚIONALE
    • Evaluarea naționalã clasele a II-a, a IV-a si a VI-a
    • Evaluarea naționalã a VIII-a
    • Simulare E.N
    • Bacalaureat
      • 2015-2016
  • ȘCOALA ALTFEL
    • Scoala altfel 2020-2021
    • Scoala altfel 2020
    • Scoala altfel 2019
    • Scoala altfel 2018
    • Scoala altfel 2016
    • Program 2013-2014
    • Galerie Scoala Altfel 2013-2014
    • Sporturi adaptate 2016-2017
  • OPTIONALE
  • CULTURA ORGANIZAȚIONALĂ
  • Strategia Nationala Anticoruptie
  • PRESA DESPRE LICEUL SPECIAL „MOLDOVA”

NOUTATI


Dezbatere la nivelul Liceului Special Moldova Tg. Frumos pe tema viziunii M.E.N. „Educația ne unește” 21 mai 2019
Elevii nevăzatori ieşeni participă la o inedită competiţie de ciclism în tandem
Achizitii de servicii catering 13.02.2018
Sporturi adaptate pt elevii cu deficiente de vedere. popice, escalda, goalball, darts – Lic. Moldova
  • Apel pentru selectie profesori pentru grupuri de lucru la elaborarea curriculumui pentru invatamant gimnazial

  • Terapia care suplinește vederea. Școala pentru elevii nevăzători are o cameră de stimulare multisenzorială
  • O cameră multisenzorială îi ajută pe copiii cu probleme de vedere să descopere lumea VIDEO
  • Cum putem ajuta un nevazator sa se orienteze

    Ce fac daca ? / What should I do ?
    Cum ghidam un nevazator ? / Sighted Guide

    Drepturi de autor ©2026 LICEUL SPECIAL “MOLDOVA”. School Zone | Dezvoltată de Propulsată de WordPress.